激光皮膚磨削術是一種新的美容外科技術,?具有操作精確迅速、不出血、不住院、恢復快等優點,?對于燒傷疤痕、手術后疤痕、外傷性疤痕、痊瘡疤痕和疤痕疙瘩等較為適用,?可使疤痕與周圍的皮膚組織在外觀上混為一體,?疤痕平整不明顯,?從而達到美容效果。
而我們所設計生產的LJL3?5?一CS?型掃描式C佚激光美容儀就完全能達到這個效果。實驗表明:?在正常使用時,?選擇激光輸出圖形的形狀、尺寸大小、掃描深度和激光輸出功率的大小,?并且設置好相應的頻率、脈寬、占空比等參數,?激光與人體皮膚組織治療的安全是有保證的。
考慮萬一情況:?當儀器正在進行治療操作時,?而激光掃描設備出現故障,?此時激光仍然正常輸出,?那么如何保證醫療操練的安全問題呢?
為此,?我們有必要研究一下掃描振鏡的工作原理。
振鏡又叫電流計掃描器,?是一種優良的矢量掃描器件,?其基本原理是通電線圈在磁場中產生力矩,?其轉子上通過機械紐簧或電子的方法加有復位力矩,?大小與轉子偏離平衡位子的角度成正比。當線圈通以一定的電流而轉子發生偏轉到一定的角度時,?電磁力矩與回夏力矩人小相等,?形成偏轉,偏轉角與電流成正比,?與電流計類似。
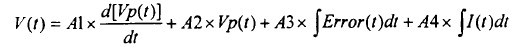
振鏡就結構而言有動圈式、
動磁式等類型,?其傳遞函數如下:
本儀器采用兼容MSC5?1?的Ph?1?1?1?p?s?公司所生產P8?9C5?8?作為控制單兒,?設計成微機控制系統,
通過高速10?位D/A?轉換芯片MAX5?15?8?,?將電平信號送入掃描振鏡驅動器,?從而分別控制對x?方向及
y?方向上掃描振鏡偏轉角度,?使激光束的方位和聚焦光斑按照設定的圖形進行平面掃描,?達到疤痕
磨削的目的。
儀器工作原理如圖1?所示。
由前所述,?不管本儀器處于何種狀態,?只要掃描振鏡在運動,?激光束就不會長時間停留在固定點上,?也就不會造成激光束引起的皮膚表面局部溫升,?從而避免了醫療事故的產生。
在正常情況下,?只要有激光輸出,?振鏡就在工作。一旦儀器出現故障,?振鏡就有可能不工作,激光束就有可能停留在一點上。能否當儀器處于治療狀態,?但由于故障原因而振鏡沒有正常工作時,關閉激光電源,?從而強行關閉激光。如果能實現這一點,?就不會造成激光束長時間停留在一點而引起局部溫升造成的醫療事故了。
圖2?掃描振鏡安全控制原理示意圖
要想實現這一點,?首先必須檢測掃描振鏡的工作狀況,?同時檢測儀器的工作狀況,?一旦出現儀器處在工作狀態而掃描振鏡處在停止狀態超過預設時間時,?立即停止激光輸出。控制原理如圖2?所示,
由圖2?可以看出,?首先分別對X?振鏡和Y?振鏡進行采樣,?取出其速度信號和位置信號;?然后對放大后的信號進行窗口比較,?將比較后的兩路信號同時送到比較觸發電路,?當兩個掃描振鏡滿足預設條件(任意一個掃描振鏡出現故障),?且儀器處在工作狀況時,?觸發器輸出信號,?關閉激光電源,強行中止激光輸出。
振鏡運動速度信號的正確取出,?是實現這一設想的第一步,?振鏡本身沒有這一信號輸出,?需要增加檢測電路,?設法對振鏡進行監測,?從而取出速度信號和位置信號.?我們經過對振鏡驅動原理及運動形式的分析,?在不影響振鏡正常工作的前提下,?順利地取出了需要的速度信號和位置信號。
經過實際臨床試驗,?根據上述原理設計的控制電路完全滿足要求,?從而避免了由此引發的醫療事故,?提高了激光技術在醫療領域應用的安全性。



